市教育局
/jyj/index.shtml
网站首页 信息公开 公共服务 互动交流
当前位置:首页 > 市教育局 > 公共服务 > 招生考试
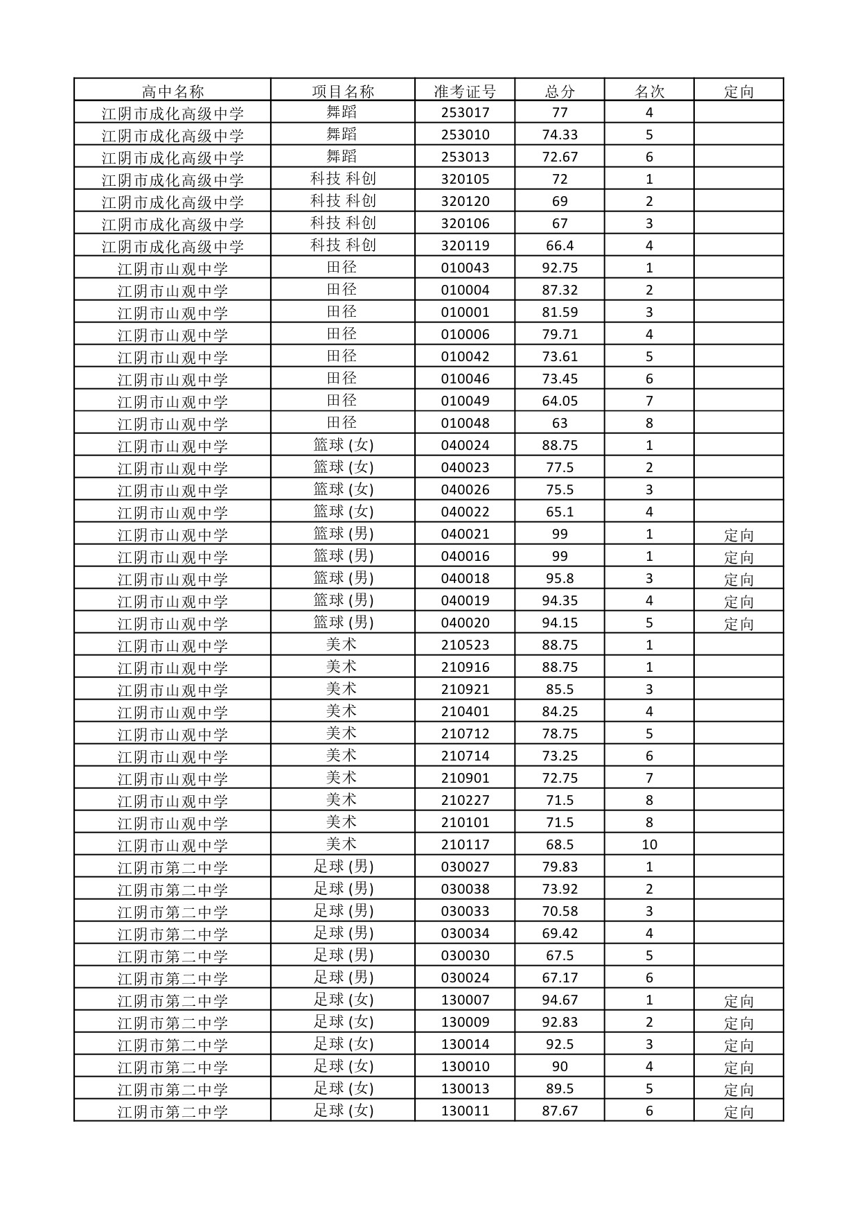
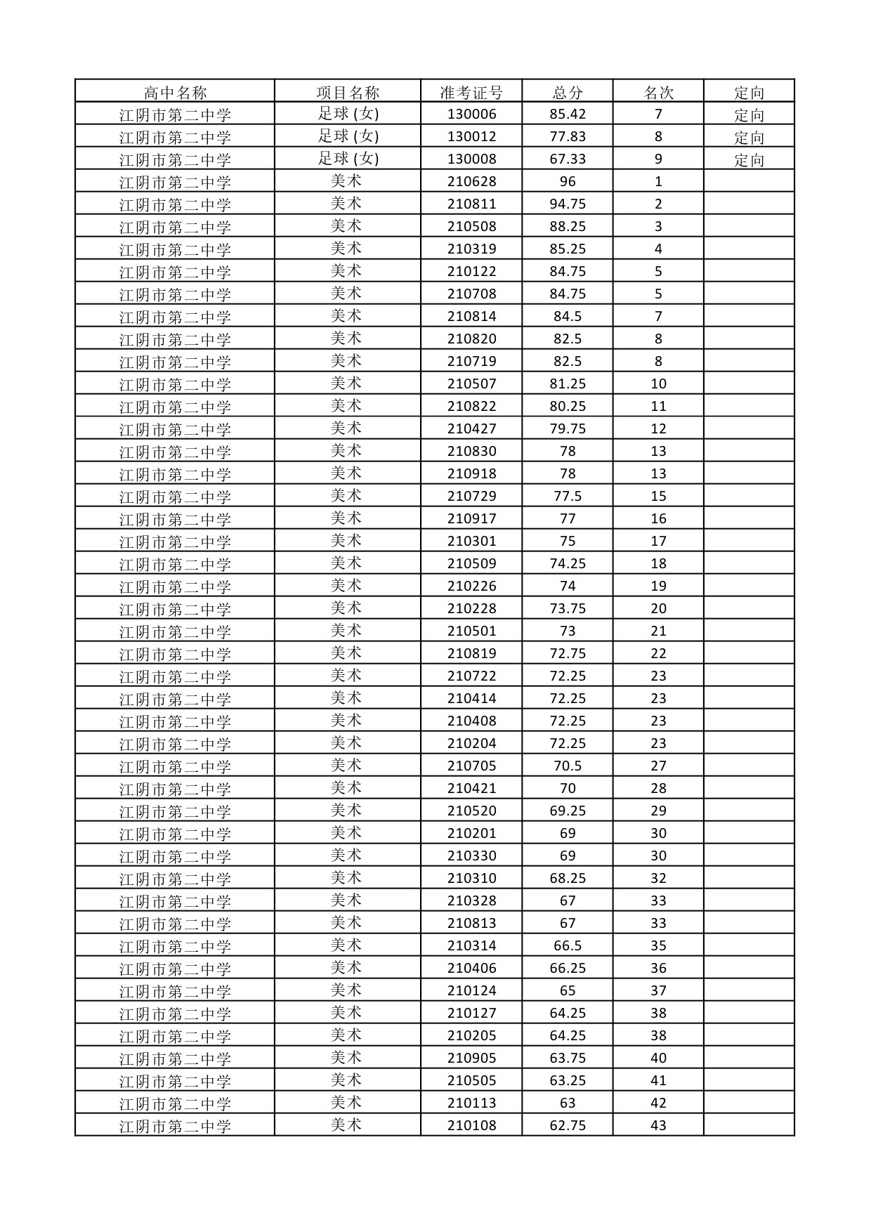
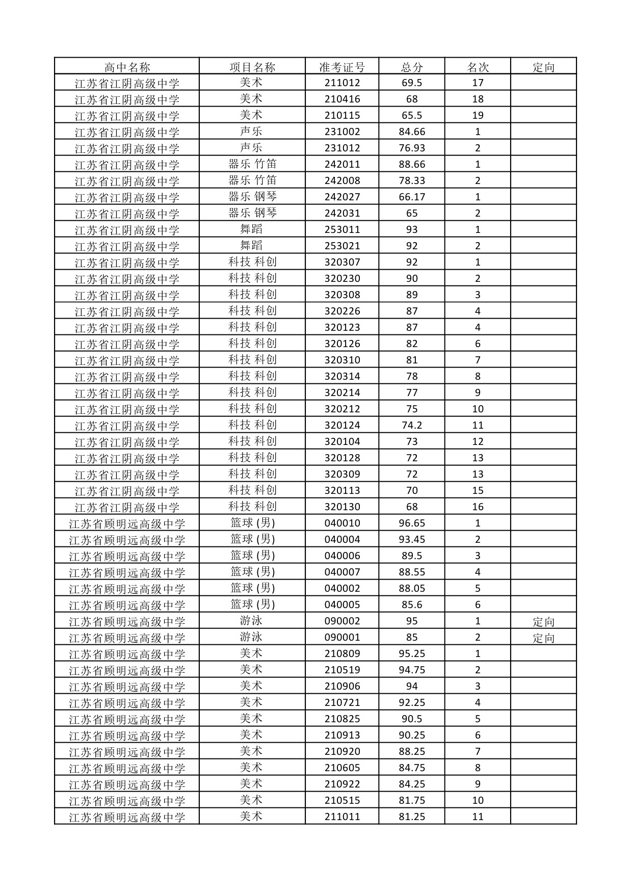
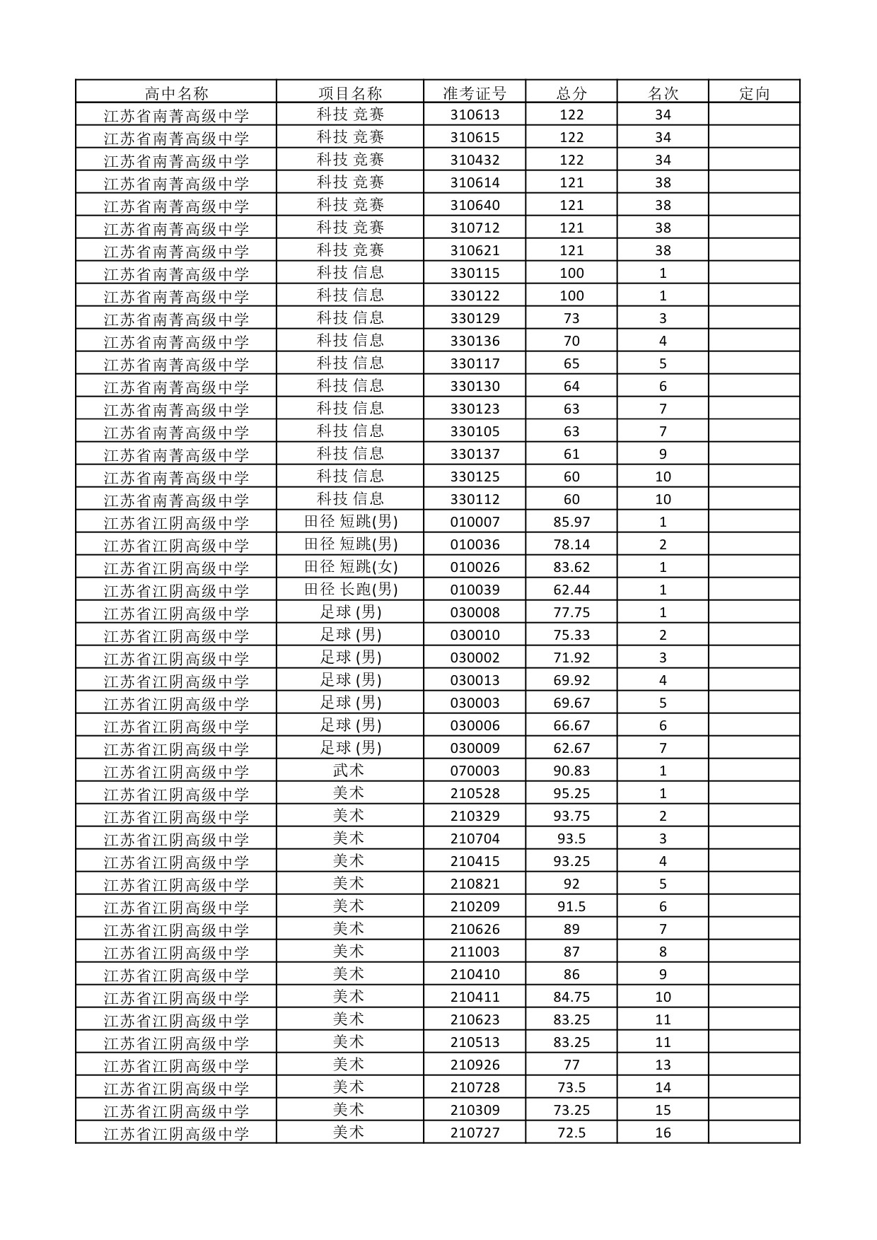
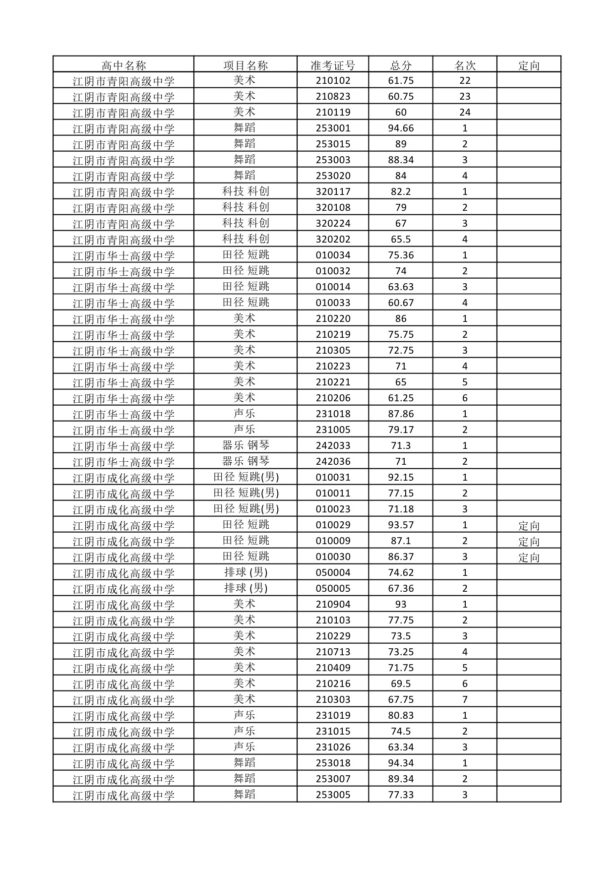
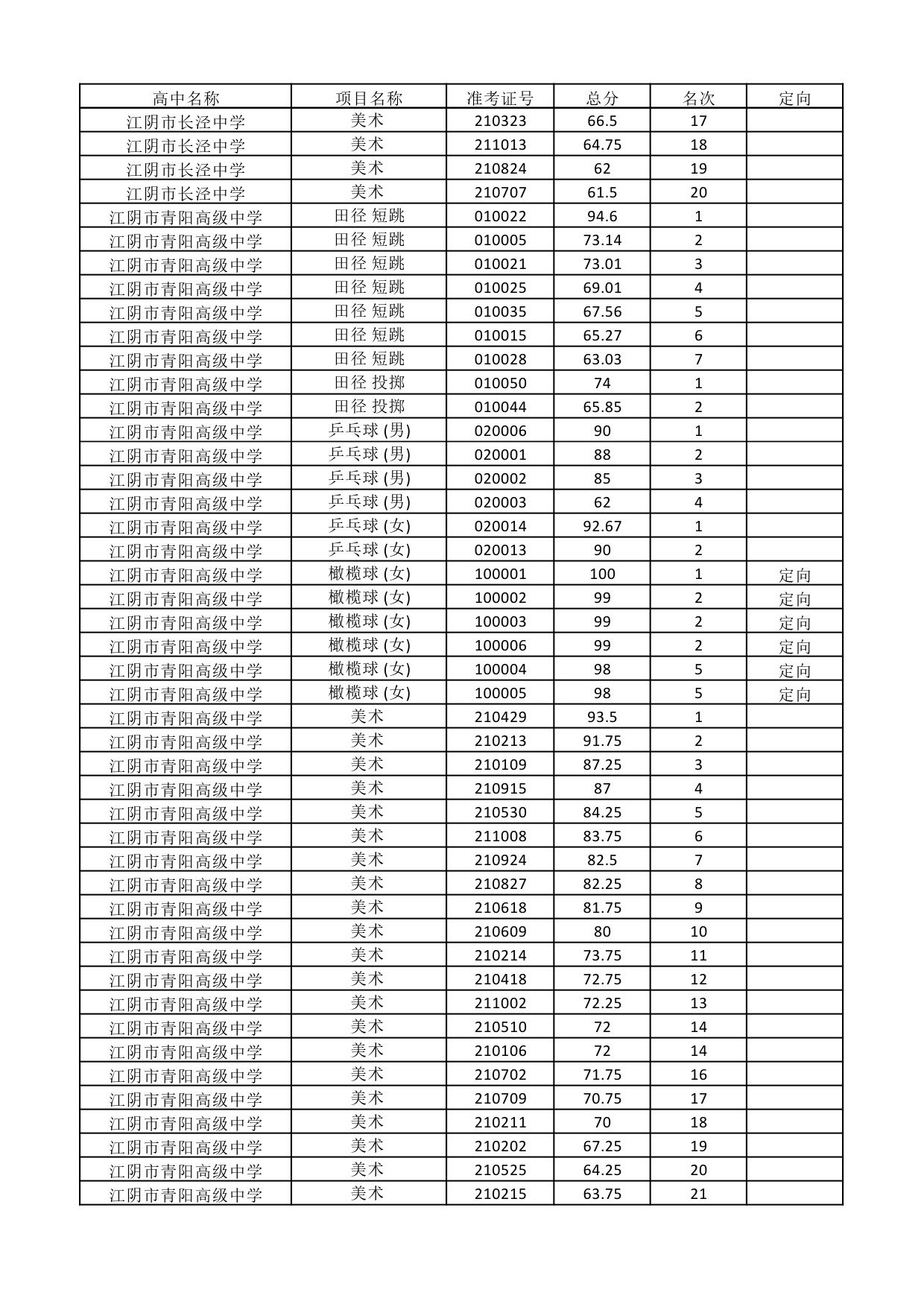
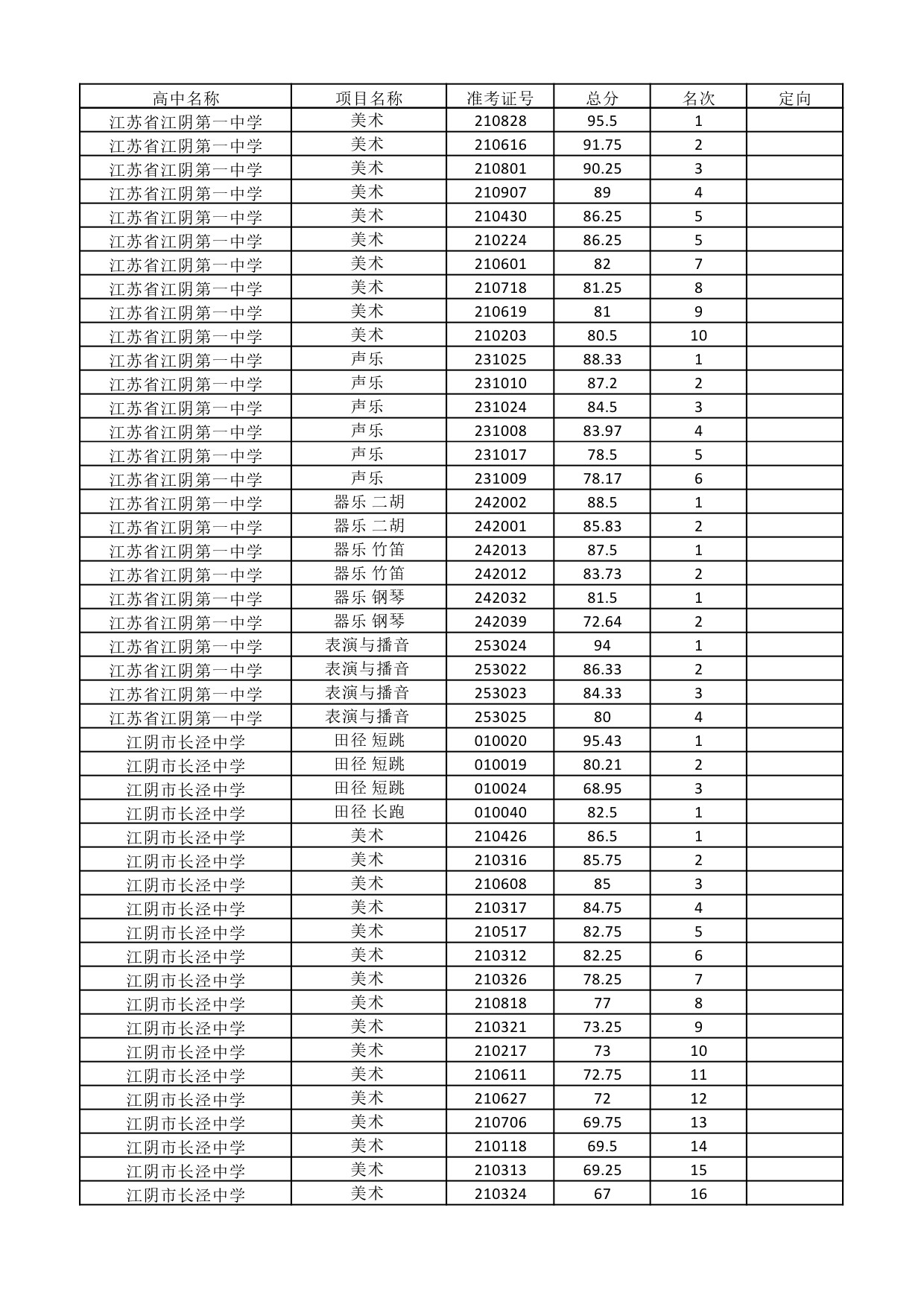
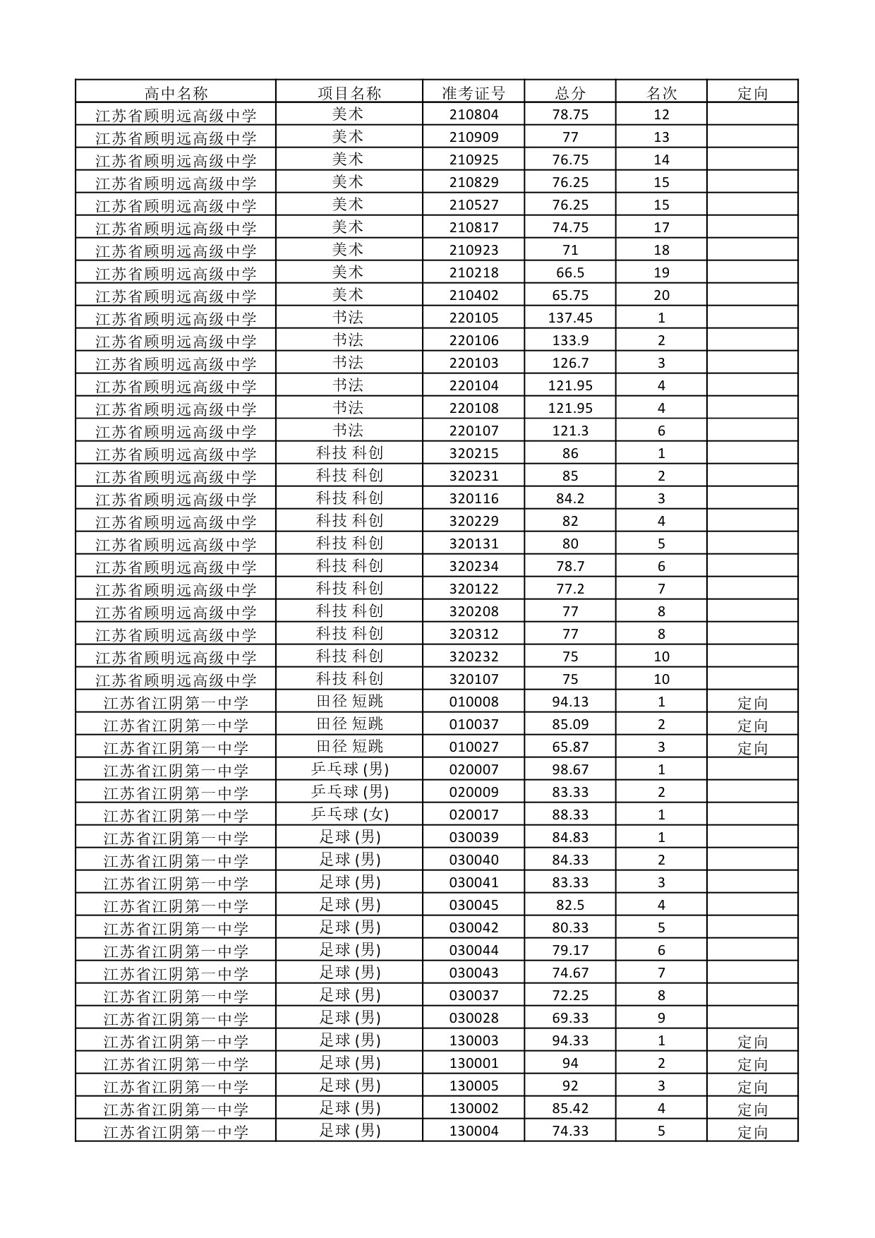
2026年普通高中特长生专业测试入围名单
发布时间:2026-04-16 15:03

网站声明 |  联系我们 |  网站地图

江阴市人民政府办公室版权所有 江阴市人民政府办公室主办

苏ICP备05002806号  苏公网安备 32028102000565号 网站标识码:3202810016

适老化无障碍服务